高代知识点全汇总
Last Update:
Page View: loading...
folding cyan open, CSDN上的一些知识点合集(点击折叠)
第一章——矩阵及初等变换
§1.1. 矩阵及其运算
线性代数学习笔记——第六讲——矩阵的转置
§1.2. 高斯消元法与矩阵的初等变换
§1.3. 逆矩阵
线性代数学习笔记——第十一讲——逆矩阵的计算(利用初等变换求逆矩阵)
线性代数学习笔记——第十二讲——求解矩阵方程
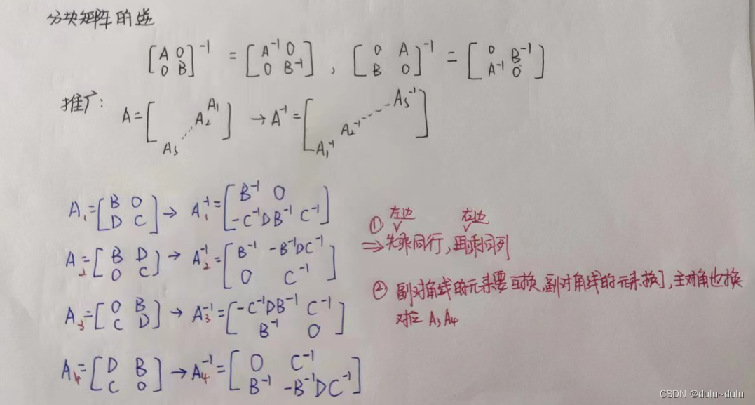
§1.4. 分块矩阵
第二章——行列式
§2.1. n阶行列式的定义
§2.2. n阶行列式的性质
线性代数学习笔记——第十四讲——行列式的性质
§2.3. Laplace定理
线性代数学习笔记——第十八讲——抽象矩阵的可逆性
§2.4. Cramer法则
线性代数学习笔记——第十九讲——克拉默法则
§2.5. 矩阵的秩
第三章——几何空间
§3.1. 空间直角坐标系与向量
线性代数学习笔记——第二十七讲——向量的方向余弦
§3.2. 向量的乘法
第四章——n维向量空间
§4.1. n维向量空间的概念
线性代数学习笔记——第四十一讲——n维向量空间的子空间
§4.2. 向量组的线性相关性
线性代数学习笔记——第四十六讲——线性相关基本定理
§4.3. 向量组的秩与最大无关组
线性代数学习笔记——第四十七讲——向量组的秩与最大无关组的概念
线性代数学习笔记——第五十讲——最大无关组的性质和等价叙述
§4.4. 线性方程组解的结构
线性代数学习笔记——第五十一讲——n维向量空间的基、维数与坐标
线性代数学习笔记——第五十二讲——齐次方程组解的性质和基础解系
第五章——特征值与特征向量
5.1 特征值与特征向量的概念与计算
线性代数学习笔记——第六十一讲——矩阵函数、逆矩阵、伴随矩阵的特征值与特征向量
§5.2 矩阵的相似对角化
§5.3 n维向量空间的正交性
线性代数学习笔记——第六十八讲——柯西—施瓦兹(Cauchy-Schwarz)不等式
线性代数学习笔记——第七十讲——格拉姆—施密特(Gram-Schmidt)正交化方法
§5.4实对称矩阵的相似对角化
线性代数学习笔记——第七十三讲——实对称矩阵的特征值与特征向量
第六章——二次型与二次曲面
§6.1.实二次型
线性代数学习笔记——第七十八讲——用正交变换化二次型为标准型
§6.2. 正定二次型
endfolding
一些总结,可能较零碎。
本节是线代某些知识点总结,可能较零碎。
对于简单的知识点,例如“两行对应成比例,行列式为0”就不讲了。暂时不举例题,有时间会继续补充!
一.初等行/列变换
1.计算行列式时,行列变换都可
因为,所以不论动行/列都是等价的。
变换规则:
1.“倍乘”:行列式的某行(列)乘某个元素k。相应的,若行列式中某行(列)元素有公因子k(k≠0),则k可提到行列式外面,即:
2.”互换”:行列式中两行(列)互换,行列式变号。
3.“倍加”:某行(列)的k倍加到另一行(列),行列式不变。
2.求矩阵的秩时,行列变换都可
因为初等变换不改变某个矩阵非零子式的最高阶数,秩指的就是非零子式的最高阶数。
初等变换的规则:
1.”倍乘”:一个非零常数乘矩阵矩阵的某一行(列)。
2.”互换”:互换矩阵中某两行(列)的位置。
3.”倍加”:将矩阵的某一行(列)的k倍加到令一行(列)。
注意:
某矩阵乘元素k,是矩阵中的每个元素都成k,要与行列式区分。
也就是
。
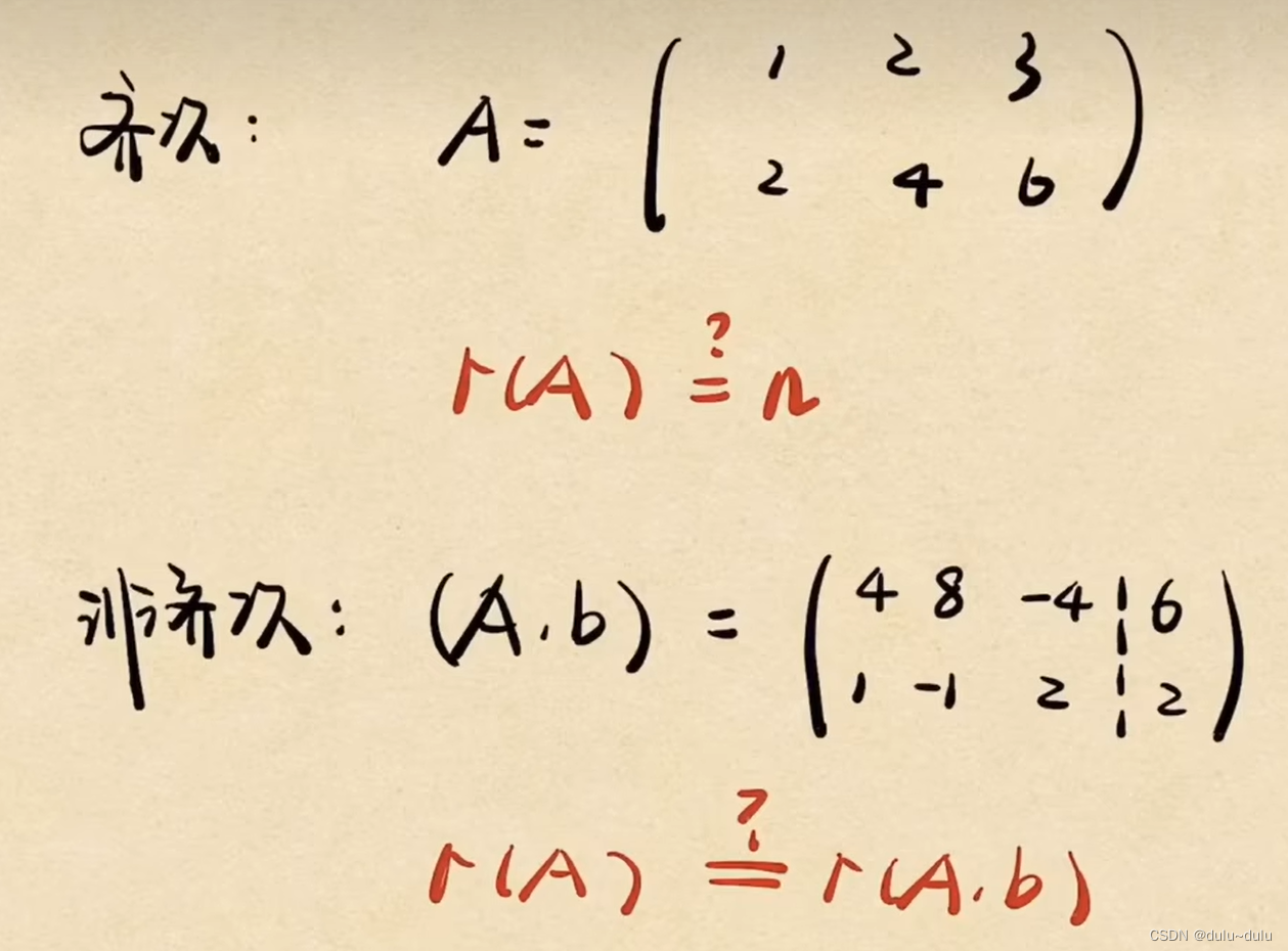
3.解线性方程组时,仅能使用初等行变换
因为矩阵的每一种初等行变换都对应着线性方程组的同解变换,而作列变换会改变原来的方程。

4.判定解的情况,单纯求r(A),r(A,b)的过程行列变换都可
注:将r(A,b)化行阶梯求秩时,往往我们需要同时得到r(A),如果想用列变换的话,只能对A单独列变换,千万不要将b列和A的列混合运算,这样r(A)就不准了。(但r(A,b)是准的)。

但是,如果涉及到求通解或唯一解,那么就只能做行变换化行阶梯了,所以建议一开始就只做行变换。
总结:求解的过程,就只进行初等行变换化行阶梯求秩,并且顺势化为行最简型求解。
5.求向量组极大无关组、线性表出关系,则仅行变换
因为初等行变换不改变列向量组的线性表出关系。例如下图,矩阵中,
,
矩阵同样有这样的关系。

6.求向量组的秩时,行列变换都可
求向量组的秩,其实最后会转化为求矩阵的秩,原理就是“矩阵的秩=行向量组的秩=列向量组的秩”,所以求向量组的秩也是行列变换都可。

但是一般求向量组的秩后面会继续求解极大无关组/线性表出关系,这时只能做行变换,所以还是建议从开头就只使用行变换。
7.求特征值时,行列变换都可
因为特征多项式本质上是行列式,求行列式时,行列都可以换。

8.求特征向量时,仅做行变换
因为求特征向量时,本质是在解线性方程组,只能进行初等行变换。

9.求逆矩阵时,对(A,E)仅做初等行变换
因为以A−1𝐴−1左乘A得到E,以A−1𝐴−1左乘E得到A−1𝐴−1,以A−1𝐴−1左乘的过程就是做初等行变换的过程。

所以怎么体现A和E做了完全一样的A−1𝐴−1所带来的初等行变换,就是将A,E横着拼在一起,此时做的初等行变换就是同步的了。

总结:
除了① 求行列式的值(求特征值本质上就是求行列式的值)和 ② 单纯求秩,行列变换都可,其余情况通通只做行变换。
二.要牢记
先写那么多,后面有再补充:

一些推导:

对于AB ≠ BA的补充:


1.矩阵的逆

推导如下:

初等矩阵的逆:
2.矩阵的伴随

三.某某子式
1.余子式
在n阶行列式中,去掉元素a所在的第i行、第j列元素,由剩下的元素按原来的位置与顺序组成的n-1阶行列式称为元素a的余子式,记作Mij𝑀𝑖𝑗。
2.代数余子式
余子式Mij𝑀𝑖𝑗乘(−1)i+j(−1)𝑖+𝑗后称为a的代数余子式,记作AAij𝐴𝑖𝑗

3.k阶子式
给定一个矩阵,任取k行,任取k 列,共k2𝑘2个数构成的行列式,出现在矩阵的秩中,定义如下:
设A是mxn矩阵,则若存在k阶子式不为零,而任意k+1阶子式(如果有的话)全为零,则r(A)=k,且若A为nxn矩阵,则:

4.k阶主子式
指在行列式中选k行k列,但要求行和列的下标相同。如:行为r1、r2、r3,列必须为c1、c2、c3;行为r2、r3、r5,列必须为c2、c3、c5。因此,k阶主子式不唯一。
这在矩阵相似会用到,下面会讲。
5.顺序主子式
顺序主子式是在主子式上再加限定,顺序主子式是由 1~k 行和 1~k 列所确定的子式。
例如:
1阶时:取第1行,第1列
2阶时:取第1、2行,第1、2列
3阶时:取第1、2、3行,第1、2、3列
4阶时:取第1、2、3、4行,第1、2、3、4列
实际上,主子式的主对角线元素是原 n 阶行列式的主对角线元素的一部分,且顺序相同。
所以k 阶主子式是不唯一的,而 k 阶顺序主子式是唯一的。
用在判断二次型正定上,下面会讲。
四.矩阵的秩
① 0 <= r(A) <= min{m,n}
② r(kA)=r(A)(k ≠ 0)
③ r(AB) <= min{r(A),r(B)}
④ r(A+B) <=r(A)+r(B)
⑤

r(A)=n-1,r(A*)=1的证明:

进而可得出一个重要结论:
*\*****************A************m****∗****n********************B************n****∗****s**************=****0************𝐴𝑚∗𝑛𝐵𝑛∗𝑠=0******,则r(A)+r(B)<=n**
所以,看到A*B就要想到两个结论:

⑥ 设A是m*n矩阵,P,Q分别是m阶,n阶可逆矩阵,则
r(A)=r(PA)=r(AQ)=r(PAQ)
⑦ r(A)=r(AT)𝑟(𝐴𝑇)=r(AAT𝐴𝐴𝑇)=r(ATA𝐴𝑇𝐴)
关于⑤的例题:

为什么Ax=b有n-r+1个线性无关的解:

五.常用特征值与特征向量

注意这样一道例题:




关于特征值的一些提示:

六.矩阵,向量组,方程组
矩阵,向量组
① 向量组是由有限个相同维数的行向量或者列向量组成,其中向量是由n个实数组成的有序数组,是一个n1的矩阵(n维列向量)或是一个1n的矩阵(n维行向量)。
② 矩阵是由m*n个数排列成m行n列的数表。
一个向量组可以看作是一个矩阵的列(或行)向量集合。如果一个矩阵有n列,那么这n列就可以看作是一个由n个向量组成的向量组。反过来,一个矩阵也可以看作是由其列(或行)向量组成的向量组。
1.怎么判断两个矩阵等价
矩阵等价的前提:A与B是\同型**矩阵,即A,B行数,列数相同
矩阵等价的充要条件:
① r(A)=r(B)
② PAQ=B,P,Q可逆
2.怎么判断两个向量组是等价向量组
向量组等价的前提:A,B矩阵\同维**
若r( Ⅰ )=r(α1,α2,α3,α4𝛼1,𝛼2,𝛼3,𝛼4….) r(Ⅱ)=r(β1,β2,β3,β4𝛽1,𝛽2,𝛽3,𝛽4….)
向量组等价的充要条件:
① r(Ⅰ)=r(Ⅱ),且(Ⅰ)可由(Ⅱ)线性表出(单向表出即可)② r(Ⅱ)=r(Ⅰ),且(Ⅱ)可由(Ⅰ)线性表出(单向表出即可)
③ r(α1,α2,α3,α4𝛼1,𝛼2,𝛼3,𝛼4….) =r(β1,β2,β3,β4𝛽1,𝛽2,𝛽3,𝛽4….) =r(α1,α2,α3,α4𝛼1,𝛼2,𝛼3,𝛼4…,β1,β2,β3,β4𝛽1,𝛽2,𝛽3,𝛽4…),即
r(Ⅰ)=r(Ⅱ)=r(Ⅰ,Ⅱ)
④ Ⅰ和Ⅱ能够相互线性表示。
总结:
① 两个矩阵A与B等价指的是A可以通过有限次初等变换变成B。两个不同型矩阵是不可能等价
乡
② 两个向量组等价只指的是它们能够互相线性表示,它们各自所含向量的个数可能是不一样的。
例题:

D.即使Ⅰ 和 Ⅱ 同为n维向量组,但是s与t的关系未知,也就是行数相等,列数未知,所以A,B两个矩阵可能不同型,不能等价。
B.(Ⅰ)可由(Ⅱ)表示,缺少其他条件,如果① 加上(Ⅱ)可由(Ⅰ)线性表出 或者② r(Ⅰ)=r(Ⅱ)就对了
C正确
D r(A)=r(B),只能推出两个向量组秩相同,缺少其他条件,如果加上① 加上(Ⅱ)可由(Ⅰ)线性表出 或者②加上(Ⅰ )可由(Ⅱ)线性表出或者③ r(Ⅰ)=r(Ⅱ)=r(Ⅰ,Ⅱ),就对了。
3.矩阵和向量等价的比较

例题:
A.(α1,α2,α3,0𝛼1,𝛼2,𝛼3,0)能与(α1,α2,α3𝛼1,𝛼2,𝛼3)相互线性表示,但是(α1,α2,α3,0𝛼1,𝛼2,𝛼3,0)不是Ax=0的基础解系
B.基础解系一定是线性无关的,但是B选项3个向量是线性相关的(3个向量相加=0)
C.像上面举的例子一样,α1α2𝛼1𝛼2,β1β2𝛽1𝛽2等秩,但是α1α2𝛼1𝛼2与β1β2𝛽1𝛽2不能相互线性表示。
D.
在(α1,α2,α3𝛼1,𝛼2,𝛼3)的右边乘可逆矩阵,不改变原来矩阵的秩,且(β1,β2,β3𝛽1,𝛽2,𝛽3)与(α1,α2,α3𝛼1,𝛼2,𝛼3)能相互线性表示
所以,求Ax=0的另一个基础解析,需要满足与(\******************α********1**********,**********α********2**********,**********α********3******************𝛼1,𝛼2,𝛼3*****)等价且等秩。*
4.同解方程组
若两个方程组Am∗nx=0𝐴𝑚∗𝑛𝑥=0与Bs∗nx=0𝐵𝑠∗𝑛𝑥=0有完全相同的解,则称它们为同解方程组
充要条件:
① Ax=0的解满足Bx=0,且Bx=0的解满足Ax=0(互相把解代入求出结果即可)
② r(A)=r(B),且Ax=0的解满足Bx=0(或Bx=0的解满足Ax=0)
③ r(A)=r(B)=r([AB][𝐴𝐵])(三秩相同)
例1:

例2:

例3:

七.齐次线性方程组和非齐次线性方程组
齐次线性方程组有解的条件:
① r(A)=n时,方程组有唯一零解。
② r(A)=r<n时,方程组有非零解(无穷多解),且有n-r个线性无关解
齐次方程组其实就是解和系数的正交,例如,给你一个条件:
α1=2α2+α3𝛼1=2𝛼2+𝛼3——>α1−2α2−α3+0α4=0𝛼1−2𝛼2−𝛼3+0𝛼4=0
则(1 -2 -1 0)就是齐次方程组的基础解系
非齐次线性无关组有解的条件:
① 若r(4)≠r([A,b]),则方程组无解;
② 若r(A)=r([A,b])=n,则方程组有唯一解;
③ r(A)=r([A,b])=r<n,则方程组有无穷多解。非齐次方程组的通解的求法:
①求Ax=0的解
② 求Ax=b的一个特解
③ 非齐次方程组的通解=齐次方程组的解+一个非齐次的特解

如果A行满秩,则r(A)=r(A|b),那么方程组一定有解。
如果A列满秩,则r(A)与r(A|b)的关系不确定:
① r(A)<r(A|b),则无解
② r(A)=r(A|b)<n,有无穷多解
③ r(A)=r(A|b)=n,有唯一解
非齐次方程组解的性质:
若η1η2η3𝜂1𝜂2𝜂3是非齐次线性方程组Ax=b的解,ξ𝜉是对应齐次方程组Ax=0的解,则:
(1) η1−η2𝜂1−𝜂2是Ax=0的解;(2)kξ+η𝑘𝜉+𝜂是Ax=b的解
扩展:

解释:
1.p个解的任意组合,都是齐次线性方程组的解
2.非齐次的解线性组合也能得到齐次线性方程组的解,但是需要满足k1+k2+…+kp=0,例如,α1−α2𝛼1−𝛼2=0(1-1=0),α1−α2𝛼1−𝛼2就是齐次线性方程组的解。
3.非齐次的解线性组合也能得到非齐次线性方程组的解,但是需要满足k1+k2+…+kp=1,例如,(α1+α2)/2(𝛼1+𝛼2)/2,就是非齐次线性方程组的一个解。
4.齐次线性方程组的解与非齐次线性方程组的解相加,得到的是非齐次线性方程组的解。
5.r(A)=r,A就有n-r个线性无关的解,而x1,x2,….xn−r𝑥𝑛−𝑟刚好是Ax=0的n-r个线性无关解,所以
k1x1+k2x2+….+kn−rxn−r𝑘𝑛−𝑟𝑥𝑛−𝑟是Ax=0的解。
例题:

A.α1−α2𝛼1−𝛼2是组合系数是1-1=0,α1−α2𝛼1−𝛼2是Ax=0的解
B.3α1−2α23𝛼1−2𝛼2是Ax=b的解,C,D同理。
八.对比记忆
1.

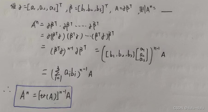
矩阵A的tr(A):tra(A)=矩阵A的迹=对角线元素之和
2.对于秩为1的n阶矩阵A或A=αβT𝛼𝛽𝑇(或βTα𝛽𝑇𝛼)(a,β都是n维非零列向量),其特征值为λ1λ2λ3….λn−1𝜆1𝜆2𝜆3….𝜆𝑛−1=0,λn=∑ni=1aii=βTα𝜆𝑛=∑𝑖=1𝑛𝑎𝑖𝑖=𝛽𝑇𝛼(或αTβ𝛼𝑇𝛽)

3.

例题1:

例题2:

九.相似与正交
存在n阶可逆矩阵P,使得P−1AP=B𝑃−1𝐴𝑃=𝐵,则称A相似于B,记为A~B
若A~B
① |A|=|B|
② r(A)=r(B)
③ tr(A)=tr(B)
④ λA=λB𝜆𝐴=𝜆𝐵(|λE−A|=|λE−B||𝜆𝐸−𝐴|=|𝜆𝐸−𝐵|)
⑤ r(λE−A)=r(λE−B)𝑟(𝜆𝐸−𝐴)=𝑟(𝜆𝐸−𝐵)
\⑥ A,B各阶主子式之和分别相同**

也就是说,A与B即使特征值相同,但也不一定相似。但是如果A,B都是实对称矩阵,那么相似,则一定特征值相同(实对称矩阵一定能相似对角化,特征值相同一定能相似于同一个对角矩阵,根据传递性A~B)。
那么怎么判定矩阵相似呢?
① 定义法
存在n阶可逆矩阵P,使得P−1AP=B𝑃−1𝐴𝑃=𝐵
② 传递法
A~ΛΛ,ΛΛ~B,则A~B,其中ΛΛ为对角阵
这就要说到矩阵的相似对角化
矩阵可相似对角化的条件:
充要条件:
① n阶矩阵A可相似对角化↔有n个线性无关的特征向量。
② n阶矩阵A可相似对角化↔A对应于每个k重特征值都有k个线性无关的特征向量
必要条件:
③ n阶矩阵A有n个不同特征值→A可相似对角化
④ n阶矩阵为实对称矩阵→A可相似对角化
对于矩阵相似对角化的步骤:
① 求特征值
② 求特征向量
③ 正交化(如果需要的话),单位化η1η2η3….ηn𝜂1𝜂2𝜂3….𝜂𝑛
④ 令Q=[η1η2η3….ηn𝜂1𝜂2𝜂3….𝜂𝑛],则Q为正交矩阵,且Q−1AQ=QTAQ=Λ𝑄−1𝐴𝑄=𝑄𝑇𝐴𝑄=Λ
上面提到了实对称矩阵,实对称矩阵就是组成A的元素都是实数。对于实对称矩阵(AT=A𝐴𝑇=𝐴)要记住:

对于正交,你需要记住:
① αTβ=0𝛼𝑇𝛽=0,则,
是正交向量
② 若满足ATA=E𝐴𝑇𝐴=𝐸,则A是正交矩阵
ATA=E𝐴𝑇𝐴=𝐸↔A−1=AT𝐴−1=𝐴𝑇
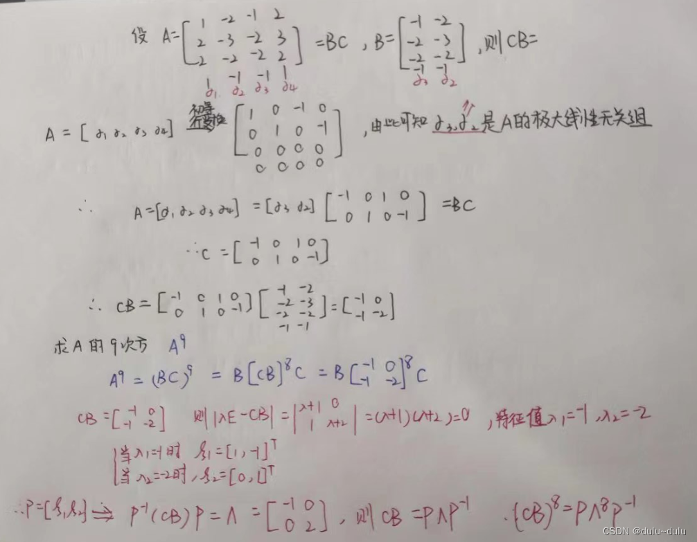
例题:

不可对角化的矩阵怎么判断相似:
例题:

如果A与B相似,那么:
对于任意实数k和整数n,有(A+kE)n(𝐴+𝑘𝐸)𝑛与(B+kE)n(𝐵+𝑘𝐸)𝑛相似
对于上面这道题,取k=-1,n=1,判断哪两个矩阵相似。
矩阵相似还可得出:
① A~B,Ak=Bk𝐴𝑘=𝐵𝑘,f(A)=f(B)
② 若A~B,且A可逆,则A−1𝐴−1~B−1𝐵−1,f(A−1𝐴−1)=f(B−1𝐵−1)
③ 若A~B,A∗𝐴∗~B∗𝐵∗
④ 若A~B,AT𝐴𝑇~BT𝐵𝑇
注:
十.合同
设A,B为n阶矩阵,若存在可逆矩阵C,使得CTAC=B𝐶𝑇𝐴𝐶=𝐵,则称A与B合同,即A≅B𝐴≅𝐵。A与B合同,就是指同一个二次型在可逆线性变换下的两个不同状态的联系。



注:由于我们已经规定,对称矩阵才是二次型矩阵,所以二次型矩阵都是对称矩阵,相应的和对称矩阵合同的矩阵也是对称矩阵。
例题:




十一.二次型
关于二次型化标准型或规范型的方法:配方法,正交变化有总结如下:

所以我们可以进一步得到
等价,合同和相似的关系:

注:相似一定合同的前提条件是A,B都是实对称矩阵

例题:


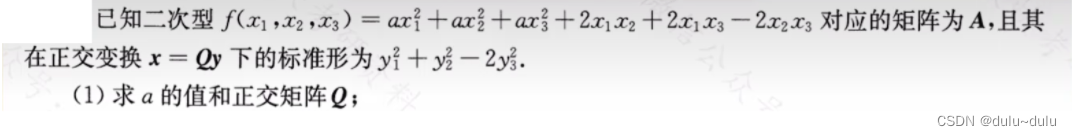
关于配方法和正交变换分别给一个例题:
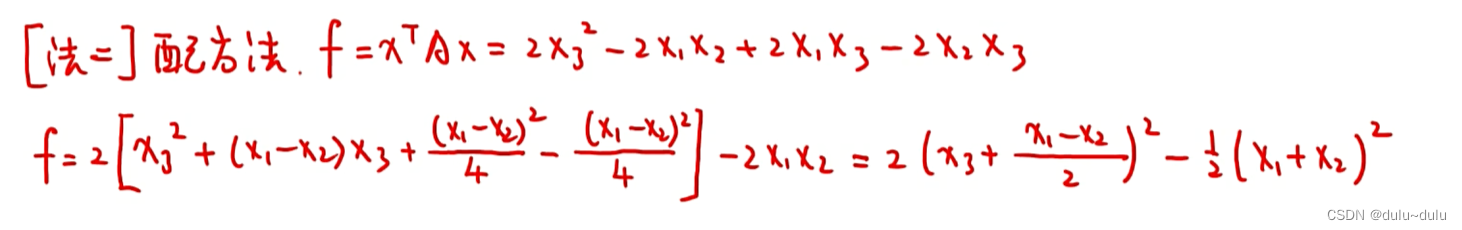
配方法:

正交变换:

① 若λ1=λ2𝜆1=𝜆2,那么两个同一特征值对应的特征向量需要正交化,如果本来就正交可以不做这一步,所以在计算特征值的时候,可以将两个特征向量写为正交的,这样就免去了施密特正交化,直接进入单位化即可。
② λ1≠λ2≠λ3𝜆1≠𝜆2≠𝜆3,那么不用进行施密特正交,直接单位化即可。
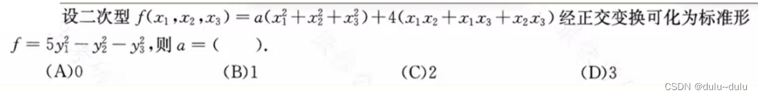
常见题型:


这里记录一个例题:


若二次型中只有混合项,没有平方项,要怎么做?

十二.二次型正定
二次型正定的充要条件:
n元二次型f=xTAx𝑓=𝑥𝑇𝐴𝑥正定↔对任意x≠0,有xTAx𝑥𝑇𝐴𝑥>0(定义)① ↔f的正惯性指数p=n
② ↔存在可逆矩阵D,使得A=DTD𝐴=𝐷𝑇𝐷
③ ↔A≅E𝐴≅𝐸,A与E合同
② ③推导:
④↔A的特征值λ𝜆>0
⑤↔A的全部顺序主子式>0
二次型正定的必要条件:
① aii𝑎𝑖𝑖>0,对角线元素全部大于0
② |A|>0
最好是使用充要条件① ④ ⑤判断二次型是否正定,如果非要用定义法,来看个例题:

注意上题,不能直接将f判定为正定:
因为将二次型化为标准型的过程一定要做可逆线性变换

例题1:


例题2:




.png)






